Официальное опубликование правовых актов
ОФИЦИАЛЬНОЕ ОПУБЛИКОВАНИЕ
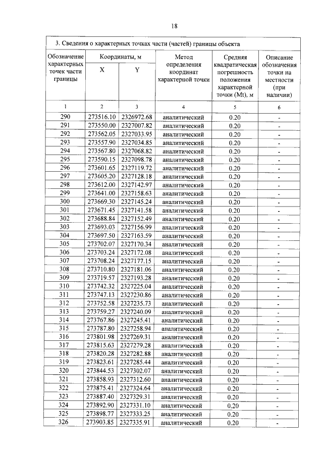
Постановление Правительства Тверской области от 23.03.2020 № 110-пп
"Об утверждении паспорта особо охраняемой природной территории регионального значения – памятника природы "Лесопарк Конаковский"
Номер опубликования: 6900202003260014
Дата опубликования: 26.03.2020
Страница №18 из 26:
Увеличить