Официальное опубликование правовых актов
ОФИЦИАЛЬНОЕ ОПУБЛИКОВАНИЕ
Постановление Правительства Тверской области от 23.03.2020 № 110-пп
"Об утверждении паспорта особо охраняемой природной территории регионального значения – памятника природы "Лесопарк Конаковский"
Номер опубликования: 6900202003260014
Дата опубликования: 26.03.2020
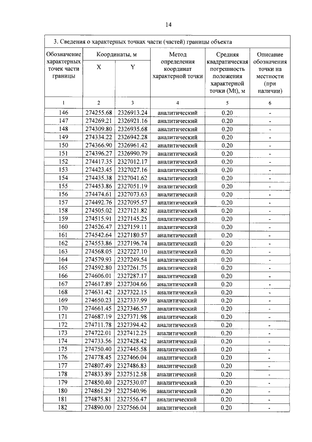
Страница №14 из 26:
Увеличить