Официальное опубликование правовых актов
ОФИЦИАЛЬНОЕ ОПУБЛИКОВАНИЕ
Постановление Правительства Тверской области от 27.01.2020 № 8-пп
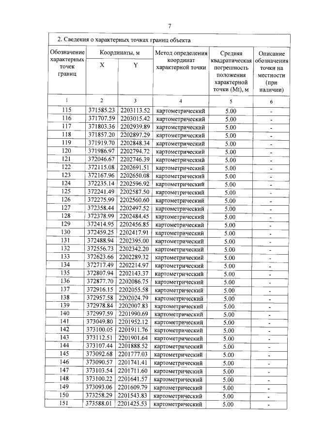
"Об утверждении графического описания местоположения границ особо охраняемой природной территории регионального значения — государственного природного заказника "Болото у озер Водонежье и Щучье"
Номер опубликования: 6900202001280004
Дата опубликования: 28.01.2020
Страница №7 из 10:
Увеличить