Постановление Правительства Тверской области от 27.01.2020 № 8-пп
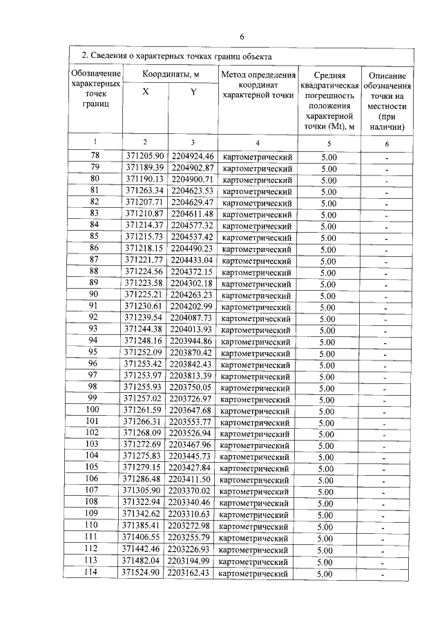
"Об утверждении графического описания местоположения границ особо охраняемой природной территории регионального значения — государственного природного заказника "Болото у озер Водонежье и Щучье"
"Об утверждении графического описания местоположения границ особо охраняемой природной территории регионального значения — государственного природного заказника "Болото у озер Водонежье и Щучье"
Номер опубликования: 6900202001280004
Дата опубликования:
28.01.2020
