Постановление Правительства Тверской области от 05.06.2018 № 180-пп
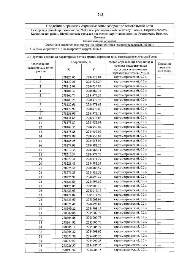
"Об установлении охранных зон газораспределительных сетей"
"Об установлении охранных зон газораспределительных сетей"
Номер опубликования: 6900201806070003
Дата опубликования:
07.06.2018
