Официальное опубликование правовых актов
ОФИЦИАЛЬНОЕ ОПУБЛИКОВАНИЕ
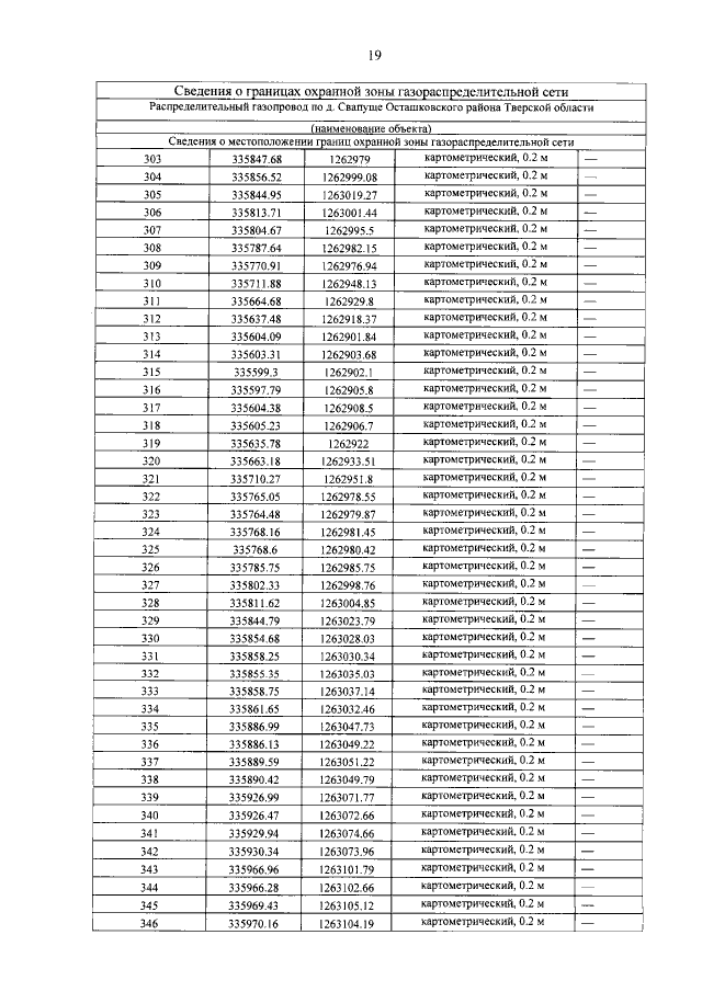
Постановление Правительства Тверской области от 05.06.2018 № 180-пп
"Об установлении охранных зон газораспределительных сетей"
Номер опубликования: 6900201806070003
Дата опубликования: 07.06.2018
Страница №19 из 229:
Увеличить