Официальное опубликование правовых актов
ОФИЦИАЛЬНОЕ ОПУБЛИКОВАНИЕ
Приказ Министерства экологии и природных ресурсов Тамбовской области от 03.06.2024 № 237
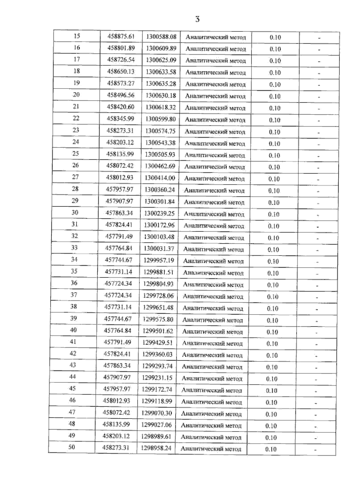
"Об установлении границ и режима зон санитарной охраны действующего водозабора общества с ограниченной ответственностью "ЧЕРКИЗОВО-СВИНОВОДСТВО" "Откорм 1Б"
(Зарегистрирован 03.06.2024 № 237)
Номер опубликования: 6801202406050014
Дата опубликования: 05.06.2024
Страница №18 из 24:
Увеличить