Официальное опубликование правовых актов
ОФИЦИАЛЬНОЕ ОПУБЛИКОВАНИЕ
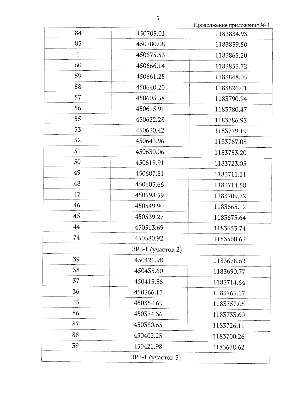
Приказ Департамента по государственной охране объектов культурного наследия Тамбовской области от 14.03.2024 № 99
"Об установлении зон охраны объекта культурного наследия регионального значения "Церковь Святителя Николая" (Тамбовская область, г. Мичуринск, ул. Красная, д. 72) и утверждении требований к градостроительным регламентам в границах территорий данных зон"
(Зарегистрирован 14.03.2024 № 99)
Номер опубликования: 6801202403200005
Дата опубликования: 20.03.2024
Страница №7 из 16:
Увеличить