Официальное опубликование правовых актов
ОФИЦИАЛЬНОЕ ОПУБЛИКОВАНИЕ
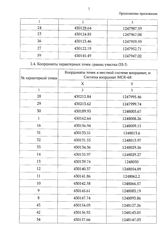
Приказ Управления по государственной охране объектов культурного наследия Тамбовской области от 25.11.2022 № 318
"О внесении изменений в приложение № 1 к приказу управления по государственной охране объектов культурного наследия области от 21.12.2020 № 397 "Об установлении зон охраны объекта культурного наследия регионального значения "Дом жилой" (Тамбовская область, г. Тамбов, ул. Ленинградская, д. 41) и утверждении требований к градостроительным регламентам в границах территорий данных зон"
Номер опубликования: 6801202211250001
Дата опубликования: 25.11.2022
Страница №4 из 9:
Увеличить