Официальное опубликование правовых актов
ОФИЦИАЛЬНОЕ ОПУБЛИКОВАНИЕ
Приказ Управления по государственной охране объектов культурного наследия Тамбовской области от 02.12.2021 № 185
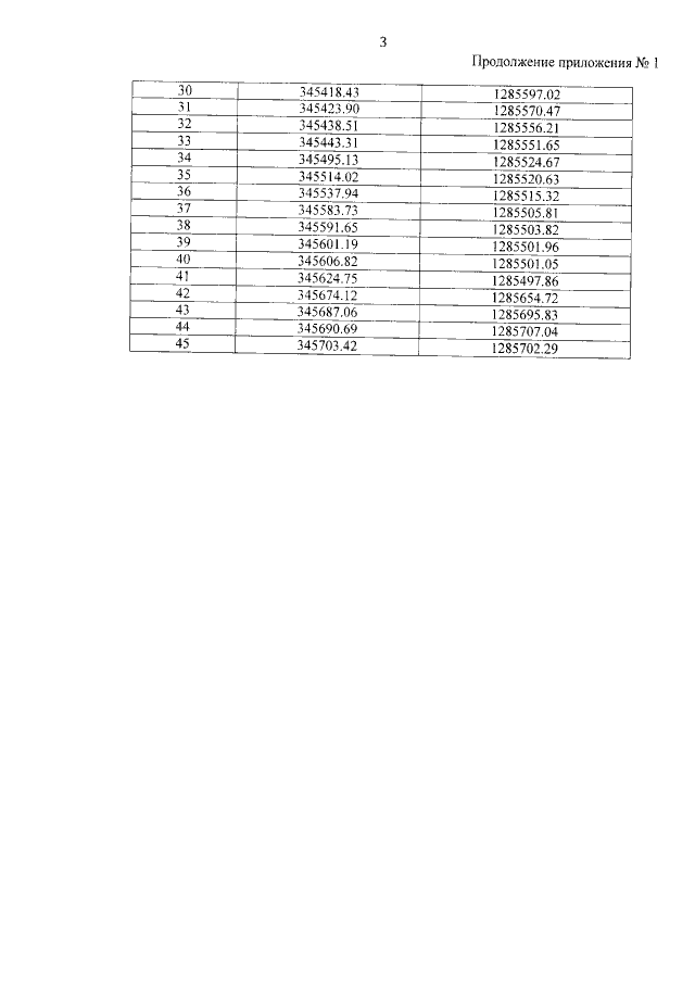
"Об утверждении границ территории и режима использования территории объекта культурного наследия федерального значения "Усадьба, в которой в 1890-1917 гг. весной и летом жил и работал композитор Рахманинов Сергей Васильевич" (Тамбовская область, Уваровский район, д. Ивановка‚ ул. Рахманинова‚ 4а, 4б, 4в, 4г)"
Номер опубликования: 6801202112020003
Дата опубликования: 02.12.2021
Страница №4 из 6:
Увеличить