Приказ Управления по государственной охране объектов культурного наследия Тамбовской области от 25.09.2020 № 331
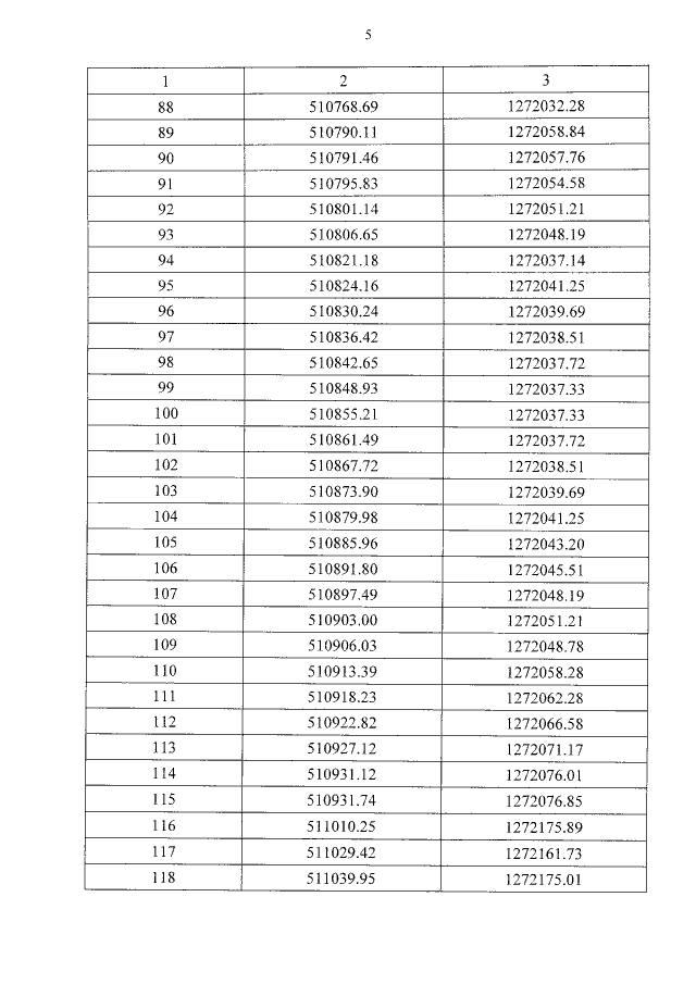
"О внесении изменений в приложение к приказу управления по государственной охране объектов культурного наследия области от 23.01.2020 № 27 "Об утверждении графического описания местоположения границ защитной зоны объекта культурного наследия регионального значения "Двухэтажное здание" (Тамбовская область, г.Моршанск, ул.Лотикова, д.68) с перечнем координат характерных точек этих границ в системе координат, установленной для ведения Единого государственного реестра недвижимости, и режима использования земель в границах данной защитной зоны"
"О внесении изменений в приложение к приказу управления по государственной охране объектов культурного наследия области от 23.01.2020 № 27 "Об утверждении графического описания местоположения границ защитной зоны объекта культурного наследия регионального значения "Двухэтажное здание" (Тамбовская область, г.Моршанск, ул.Лотикова, д.68) с перечнем координат характерных точек этих границ в системе координат, установленной для ведения Единого государственного реестра недвижимости, и режима использования земель в границах данной защитной зоны"
Номер опубликования: 6801202009280001
Дата опубликования:
28.09.2020
