Официальное опубликование правовых актов
ОФИЦИАЛЬНОЕ ОПУБЛИКОВАНИЕ
Приказ Управления по государственной охране объектов культурного наследия Тамбовской области от 18.06.2020 № 232
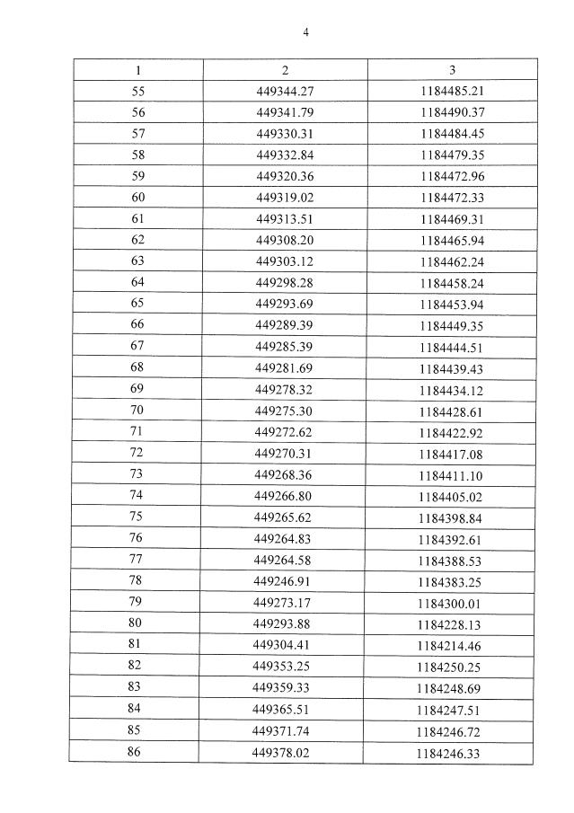
"Об утверждении графического описания местоположения границ защитной зоны объекта культурного наследия регионального значения "Дом, в котором жил народный художник СССР А.М.Герасимов" (Тамбовская область, г.Мичуринск, ул.Герасимова, д.88) с перечнем координат характерных точек этих границ в системе координат, установленной для ведения Единого государственного реестра недвижимости, и режима использования земель в границах данной защитной зоны"
Номер опубликования: 6801202006190012
Дата опубликования: 19.06.2020
Страница №6 из 7:
Увеличить