Официальное опубликование правовых актов
ОФИЦИАЛЬНОЕ ОПУБЛИКОВАНИЕ
Закон Тамбовской области от 23.12.2022 № 201-З
"О преобразовании муниципальных образований путем объединения Цнинского сельсовета Тамбовского района Тамбовской области, Бокинского сельсовета Тамбовского района Тамбовской области, Покрово-Пригородного сельсовета Тамбовского района Тамбовской области с городским округом - город Тамбов и о внесении изменений в отдельные законодательные акты Тамбовской области"
Номер опубликования: 6800202212260003
Дата опубликования: 26.12.2022
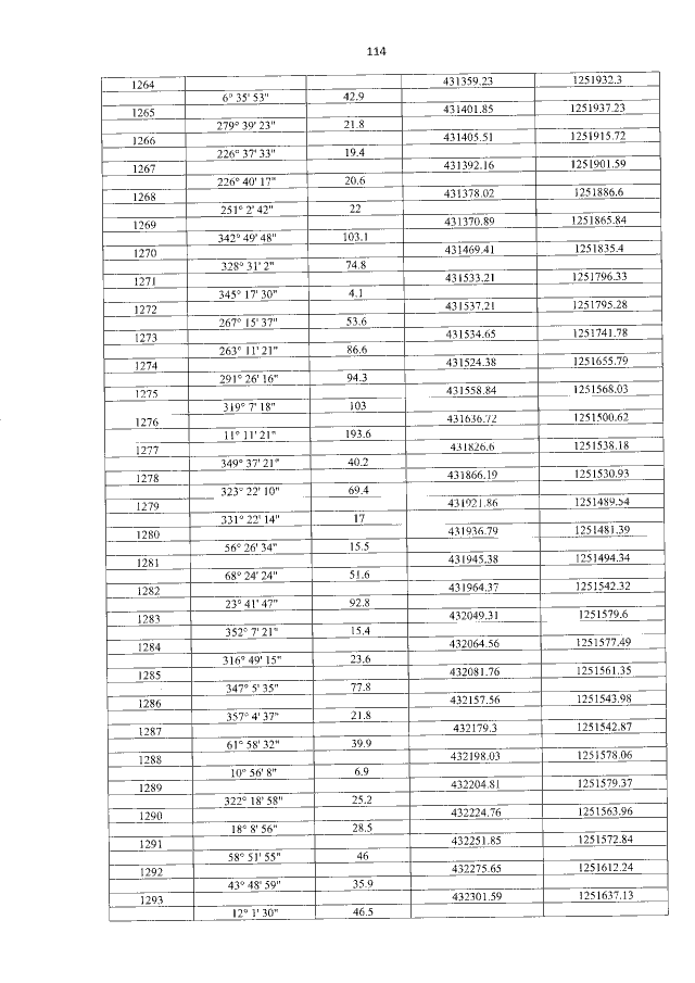
Страница №114 из 218:
Увеличить