Официальное опубликование правовых актов
ОФИЦИАЛЬНОЕ ОПУБЛИКОВАНИЕ
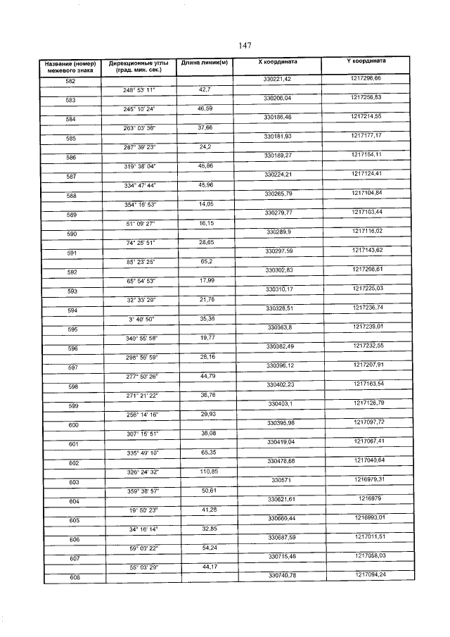
Закон Тамбовской области от 30.09.2019 № 392 - З
"О внесении изменений в Закон Тамбовской области "Об установлении границ муниципальных образований Токарёвского района Тамбовской области и определении места нахождения их представительных органов и о признании утратившими силу отдельных положений некоторых законодательных актов Тамбовской области"
Номер опубликования: 6800201910010002
Дата опубликования: 01.10.2019
Страница №147 из 207:
Увеличить