Официальное опубликование правовых актов
ОФИЦИАЛЬНОЕ ОПУБЛИКОВАНИЕ
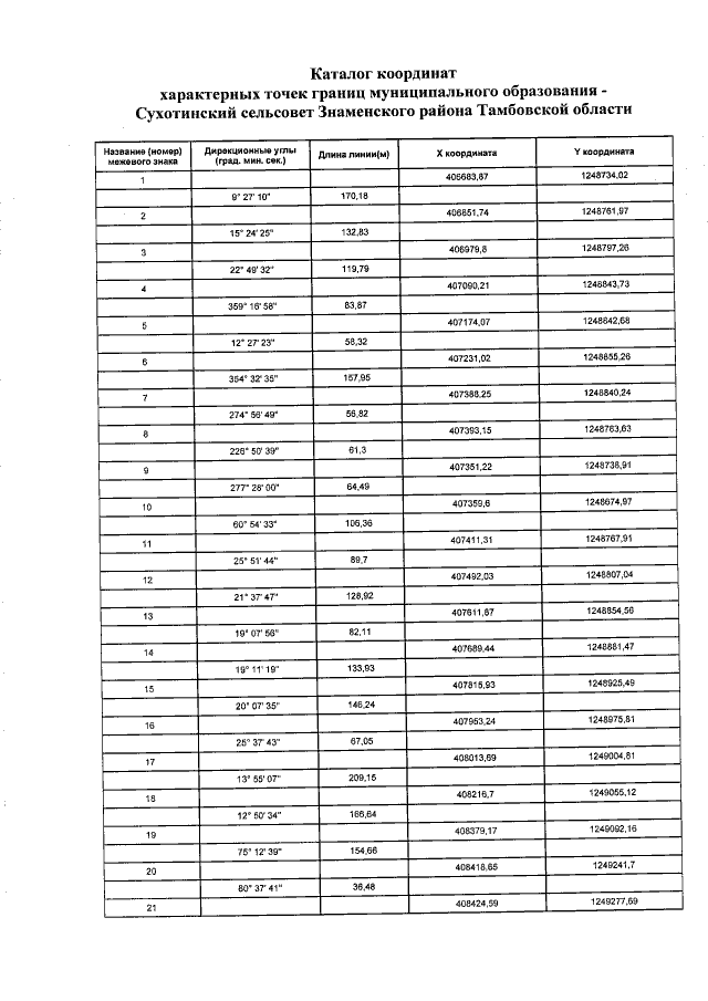
Закон Тамбовской области от 30.11.2018 № 290-З
"Об установлении границ муниципальных образований Знаменского района Тамбовской области и определении места нахождения их представительных органов и о признании утратившими силу отдельных положений некоторых законодательных актов Тамбовской области"
Номер опубликования: 6800201812030009
Дата опубликования: 03.12.2018
Страница №312 из 340:
Увеличить