Официальное опубликование правовых актов
ОФИЦИАЛЬНОЕ ОПУБЛИКОВАНИЕ
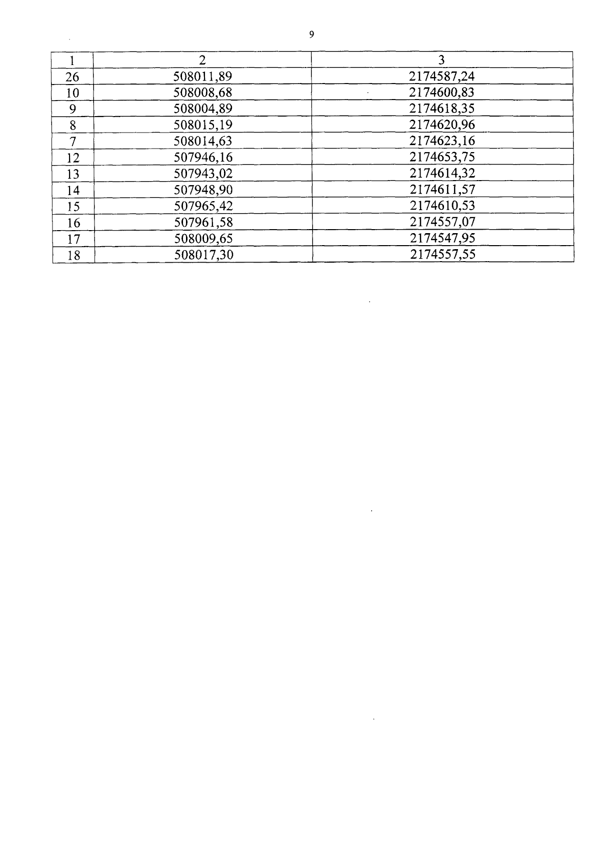
Постановление Правительства Смоленской области от 04.12.2024 № 939
"Об установлении зон охраны объекта культурного наследия (памятника истории и культуры) народов Российской Федерации регионального значения "Дом жилой", кон. XIX в., расположенного по адресу: Смоленская область, Вяземский район, город Вязьма, ул. 25 Октября, д. 2, и утверждении требований к градостроительным регламентам в границах территорий данных зон"
Номер опубликования: 6700202412060001
Дата опубликования: 06.12.2024
Страница №9 из 15:
Увеличить