Официальное опубликование правовых актов
ОФИЦИАЛЬНОЕ ОПУБЛИКОВАНИЕ
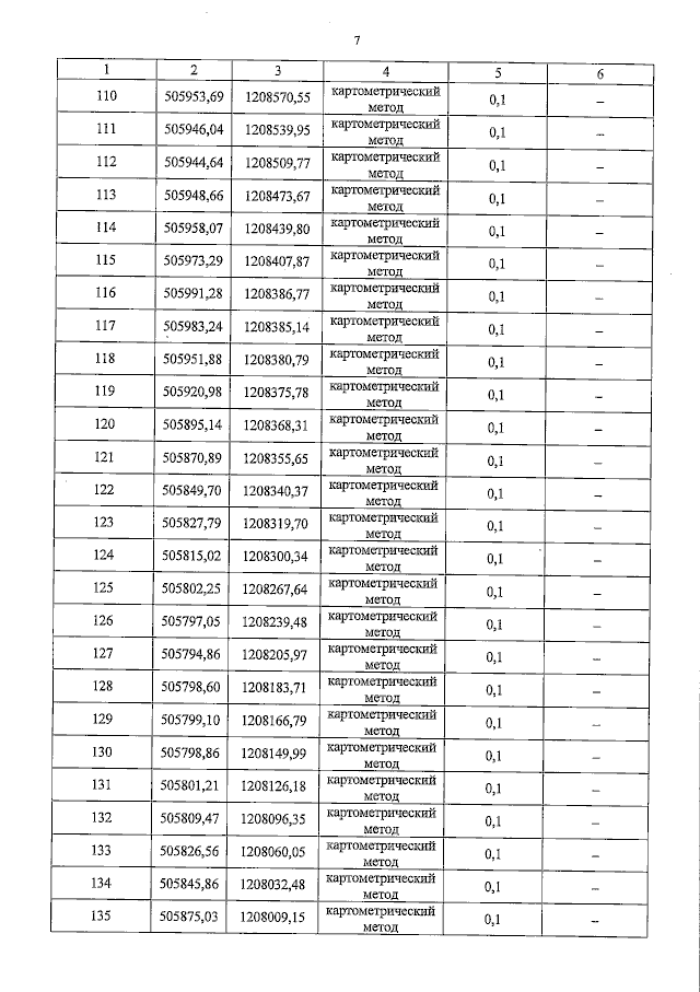
Указ Губернатора Смоленской области от 14.07.2023 № 83
"О создании охранной зоны памятника природы регионального значения "Озеро Диво" и установлении ее границ"
Номер опубликования: 6700202307170008
Дата опубликования: 17.07.2023
Страница №7 из 48:
Увеличить