Официальное опубликование правовых актов
ОФИЦИАЛЬНОЕ ОПУБЛИКОВАНИЕ
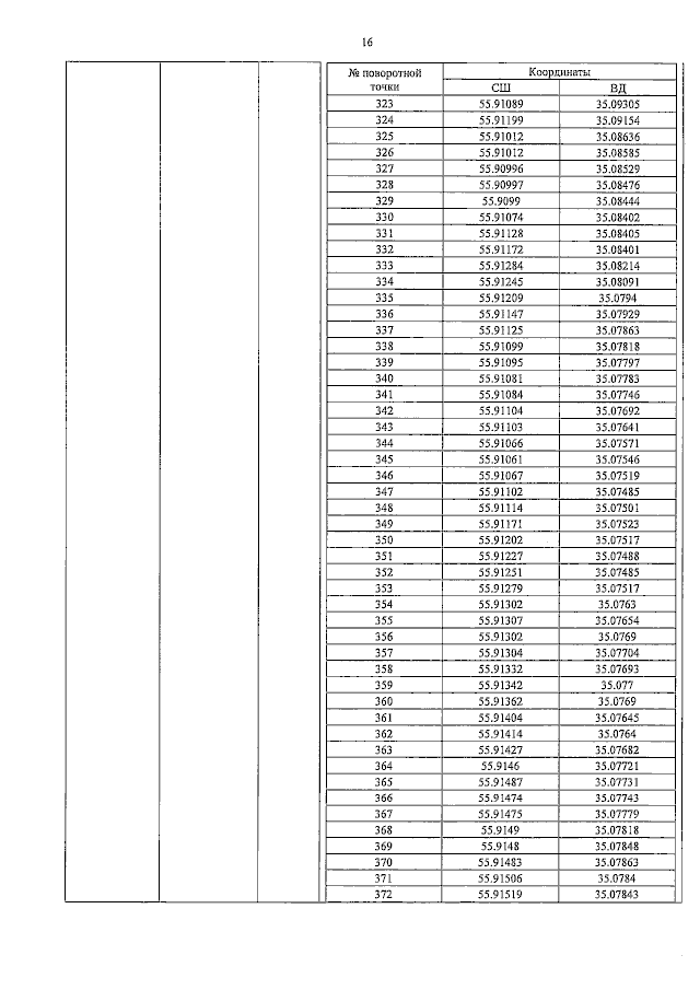
Указ Губернатора Смоленской области от 10.07.2023 № 78
"Об утверждении изменений, внесенных в схему размещения, использования и охраны охотничьих угодий на территории Смоленской области"
Номер опубликования: 6700202307110001
Дата опубликования: 11.07.2023
Страница №16 из 36:
Увеличить