Официальное опубликование правовых актов
ОФИЦИАЛЬНОЕ ОПУБЛИКОВАНИЕ
Постановление Администрации Смоленской области от 15.05.2023 № 224
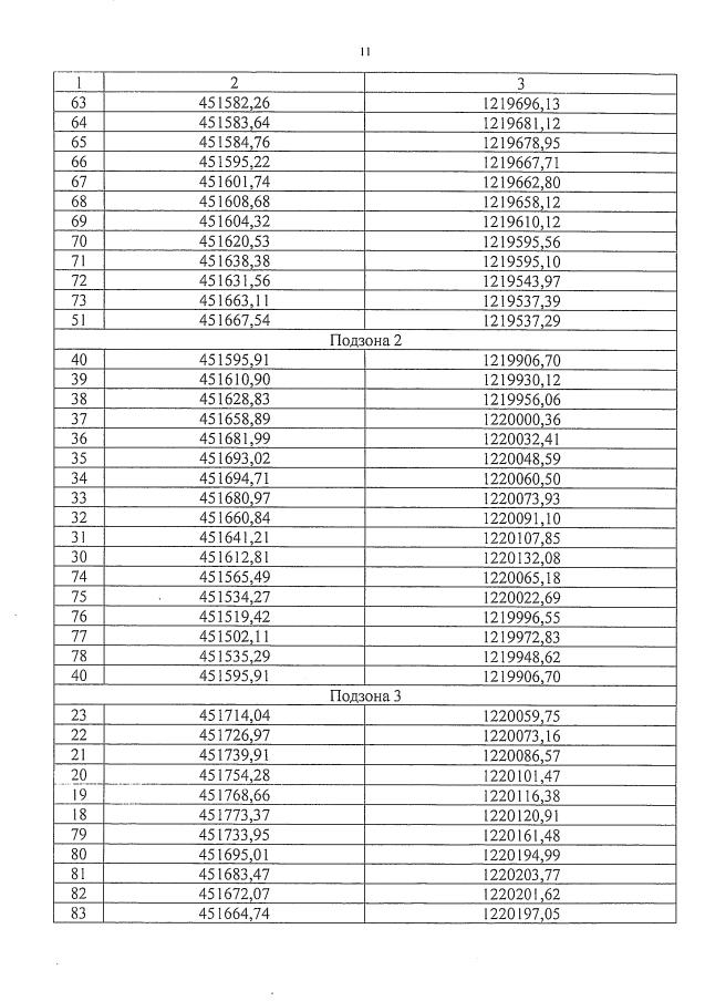
"Об установлении зон охраны объекта культурного наследия (памятника истории и культуры) народов Российской Федерации регионального значения "Церковь Казанской божьей матери и парк", 1814-1818 гг., расположенного по адресу (местонахождение): Смоленская область, Смоленский район, деревня Рай, и утверждении требований к градостроительным регламентам в границах территорий данных зон"
Номер опубликования: 6700202305160004
Дата опубликования: 16.05.2023
Страница №11 из 20:
Увеличить