Официальное опубликование правовых актов
ОФИЦИАЛЬНОЕ ОПУБЛИКОВАНИЕ
Постановление Администрации Смоленской области от 04.08.2021 № 523
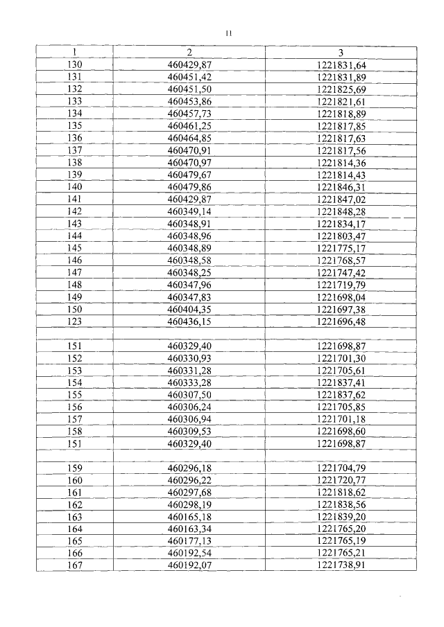
"Об утверждении границ единой охранной зоны, единой зоны регулирования застройки и хозяйственной деятельности, единой зоны охраняемого природного ландшафта объектов культурного наследия (памятников истории и культуры) народов Российской Федерации, расположенных в исторической части города Смоленска, ограниченной улицами Дзержинского - Пржевальского - Октябрьской Революции"
Номер опубликования: 6700202108090009
Дата опубликования: 09.08.2021
Страница №11 из 50:
Увеличить