Официальное опубликование правовых актов
ОФИЦИАЛЬНОЕ ОПУБЛИКОВАНИЕ
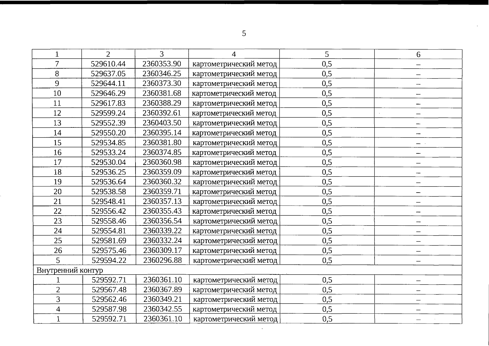
Приказ Управления государственной охраны объектов культурного наследия Свердловской области от 11.12.2024 № 794
"Об установлении зон охраны объекта культурного наследия регионального значения "Больница земская уездная", расположенного по адресу: Свердловская область, г. Туринск, ул. Освобождения, д. 19, и утверждении требований к градостроительным регламентам в границах данных зон"
(Зарегистрирован 13.12.2024 № 2411)
Номер опубликования: 6601202412160014
Дата опубликования: 16.12.2024
Страница №5 из 13:
Увеличить