Официальное опубликование правовых актов
ОФИЦИАЛЬНОЕ ОПУБЛИКОВАНИЕ
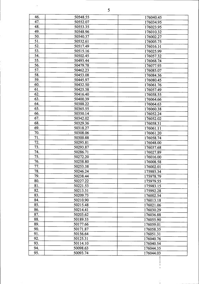
Указ Губернатора Сахалинской области от 29.04.2021 № 27
"Об установлении охранных зон и утверждении положений об охранных зонах памятников природы регионального значения Сахалинской области, расположенных на территории муниципального образования "Южно-Курильский городской округ"
Номер опубликования: 6500202104300001
Дата опубликования: 30.04.2021
Страница №7 из 24:
Увеличить