Официальное опубликование правовых актов
ОФИЦИАЛЬНОЕ ОПУБЛИКОВАНИЕ
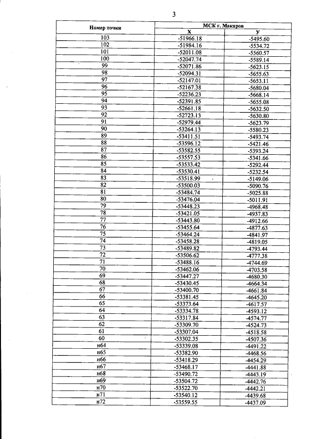
Указ Губернатора Сахалинской области от 16.04.2020 № 29
"Об установлении охранных зон и утверждении положений об охранных зонах памятников природы регионального значения Сахалинской области, расположенных на территории муниципального образования "Макаровский городской округ"
Номер опубликования: 6500202004170002
Дата опубликования: 17.04.2020
Страница №5 из 23:
Увеличить