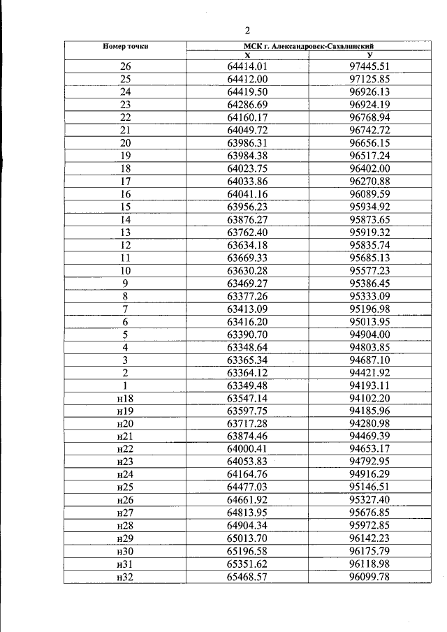
Указ Губернатора Сахалинской области от 14.02.2020 № 5
"Об установлении охранных зон и утверждении положений об охранных зонах памятников природы регионального значения Сахалинской области, расположенных на территории муниципального образования городской округ "Александровск-Сахалинский район"
"Об установлении охранных зон и утверждении положений об охранных зонах памятников природы регионального значения Сахалинской области, расположенных на территории муниципального образования городской округ "Александровск-Сахалинский район"
Номер опубликования: 6500202002190006
Дата опубликования:
19.02.2020
