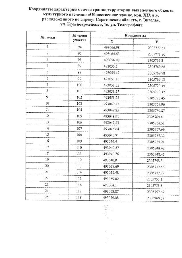
Приказ Управления по охране объектов культурного наследия Саратовской области от 25.03.2021 № 01-04/57
"Об утверждении границ территории и требований к осуществлению деятельности в границах территории выявленного объекта культурного наследия, расположенного по адресу: Саратовская область, г. Энгельс, ул. Красноармейская, 16/ ул. Телеграфная"
"Об утверждении границ территории и требований к осуществлению деятельности в границах территории выявленного объекта культурного наследия, расположенного по адресу: Саратовская область, г. Энгельс, ул. Красноармейская, 16/ ул. Телеграфная"
Номер опубликования: 6401202103310019
Дата опубликования:
31.03.2021
