Официальное опубликование правовых актов
ОФИЦИАЛЬНОЕ ОПУБЛИКОВАНИЕ
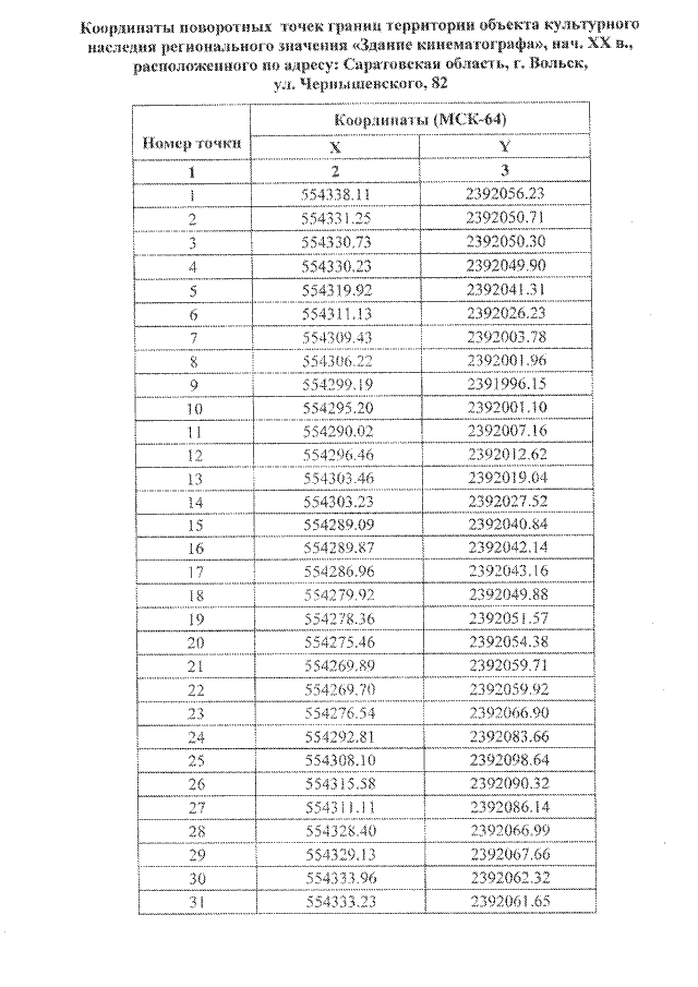
Приказ Управления по охране объектов культурного наследия Саратовской области от 29.10.2020 № 01-04/345
"Об утверждении границ территории и правового режима использования земельных участков в границах территории объекта культурного наследия регионального значения, расположенного по адресу: Саратовская область, г. Вольск, ул. Чернышевского, 82"
Номер опубликования: 6401202011030009
Дата опубликования: 03.11.2020
Страница №4 из 5:
Увеличить