Официальное опубликование правовых актов
ОФИЦИАЛЬНОЕ ОПУБЛИКОВАНИЕ
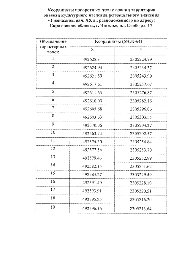
Приказ Управления по охране объектов культурного наследия Саратовской области от 05.06.2020 № 01-04/219
"Об утверждении границ территории объекта культурного наследия регионального значения, расположенного по адресу: Саратовская область, г. Энгельс, пл. Свободы, 17"
Номер опубликования: 6401202006110019
Дата опубликования: 11.06.2020
Страница №4 из 5:
Увеличить