Приказ Управления по охране объектов культурного наследия Саратовской области от 12.03.2020 № 01-04/115
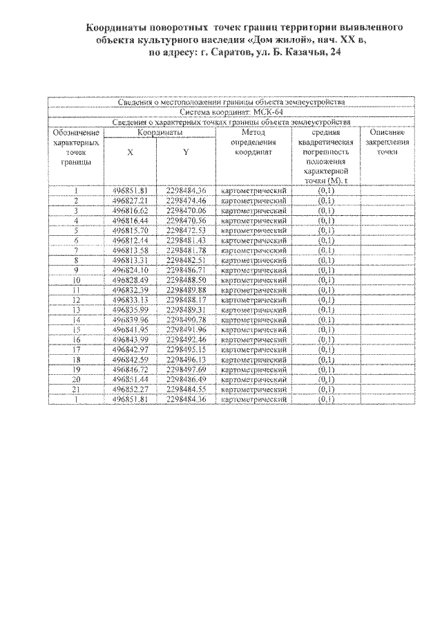
"Об утверждении границ территории выявленного объекта культурного наследия, расположенного по адресу: г. Саратов, ул. Б. Казачья, 24"
"Об утверждении границ территории выявленного объекта культурного наследия, расположенного по адресу: г. Саратов, ул. Б. Казачья, 24"
Номер опубликования: 6401202003200002
Дата опубликования:
20.03.2020
