Приказ Управления по охране объектов культурного наследия Саратовской области от 05.07.2019 № 01-04/32
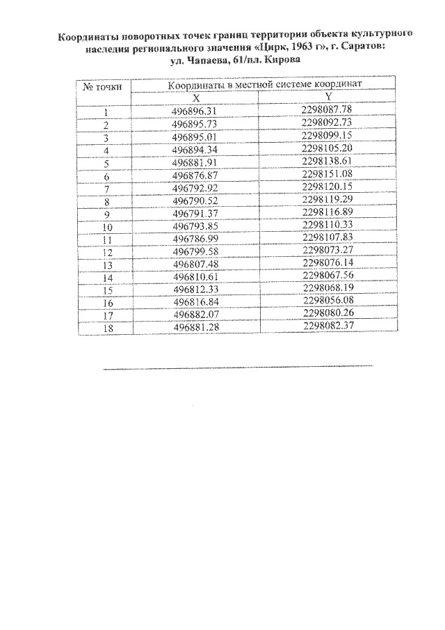
"Об утверждении границ территории объекта культурного наследия регионального значения, расположенного по адресу: г. Саратов, ул. Чапаева, 61/пл. Кирова"
"Об утверждении границ территории объекта культурного наследия регионального значения, расположенного по адресу: г. Саратов, ул. Чапаева, 61/пл. Кирова"
Номер опубликования: 6401201907120003
Дата опубликования:
12.07.2019
