Приказ Управления по охране объектов культурного наследия Саратовской области от 24.04.2019 № 78
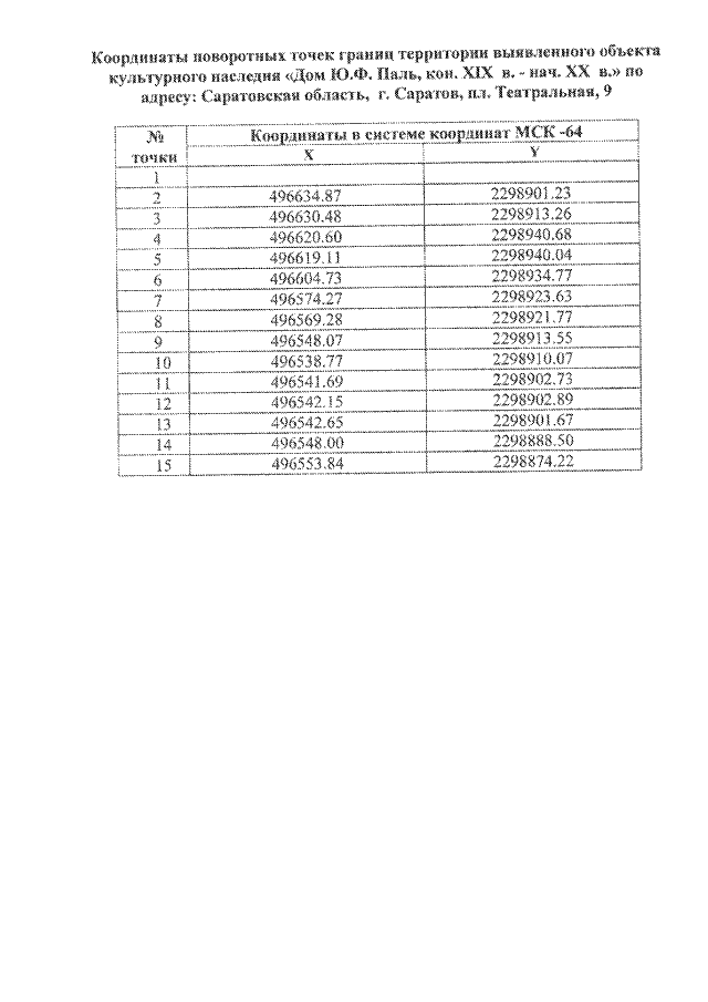
"Об утверждении границ территории выявленных объектов культурного наследия, расположенных по адресам: Саратовская область, г. Саратов, пл. Театральная, 7, пл. Театральная, 9, пл. Театральная, 15 / ул. Горького, 36"
"Об утверждении границ территории выявленных объектов культурного наследия, расположенных по адресам: Саратовская область, г. Саратов, пл. Театральная, 7, пл. Театральная, 9, пл. Театральная, 15 / ул. Горького, 36"
Номер опубликования: 6401201904300003
Дата опубликования:
30.04.2019
