Официальное опубликование правовых актов
ОФИЦИАЛЬНОЕ ОПУБЛИКОВАНИЕ
Постановление Правительства Саратовской области от 10.04.2024 № 280-П
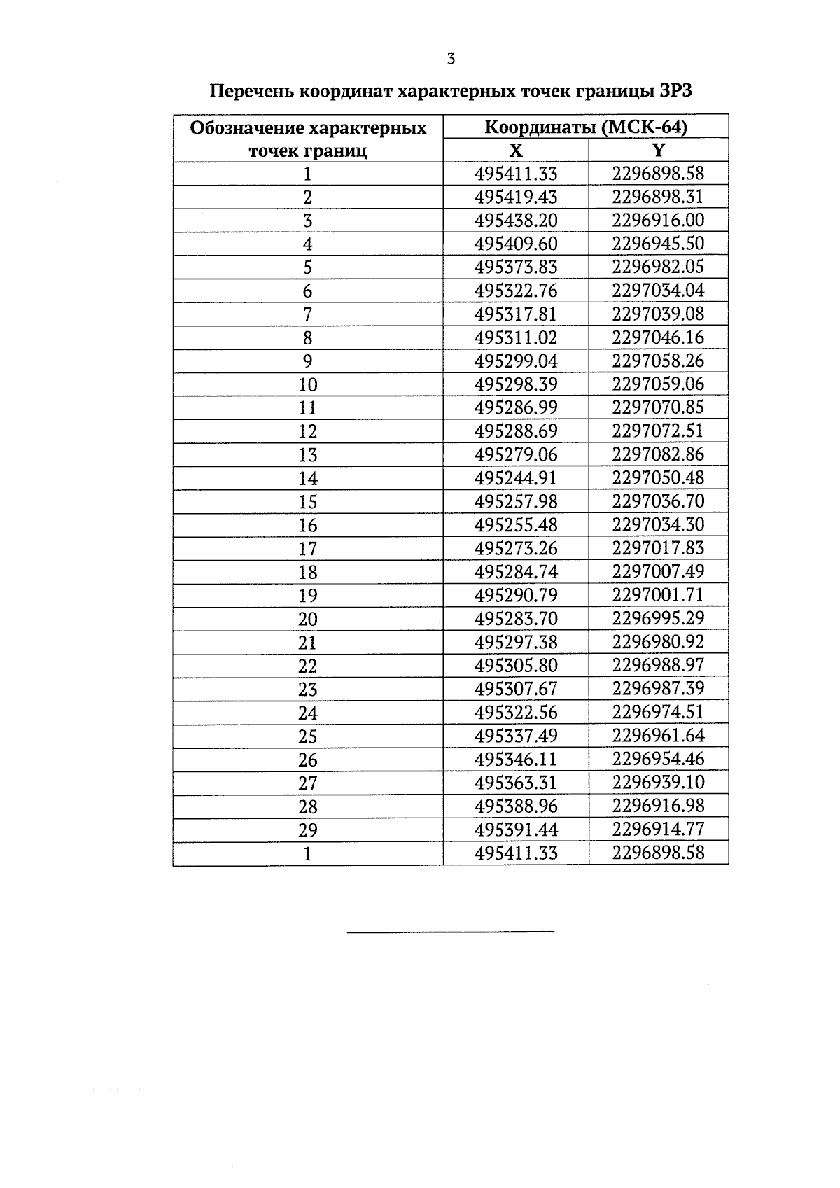
"Об утверждении зон охраны объекта культурного наследия местного (муниципального) значения "Ансамбль жилых домов Дома 8-го Марта, 1929-1933 гг., арх. Г.Г. Плотников (6 зданий)", 1929-1933 гг., расположенного по адресу: Саратовская область, г. Саратов, ул. Дома 8 Марта, д. 1, д. 2, д. 3, д. 4, д. 5, д. 6"
Номер опубликования: 6400202404160005
Дата опубликования: 16.04.2024
Страница №12 из 14:
Увеличить