Официальное опубликование правовых актов
ОФИЦИАЛЬНОЕ ОПУБЛИКОВАНИЕ
Постановление Правительства Саратовской области от 11.05.2023 № 406-П
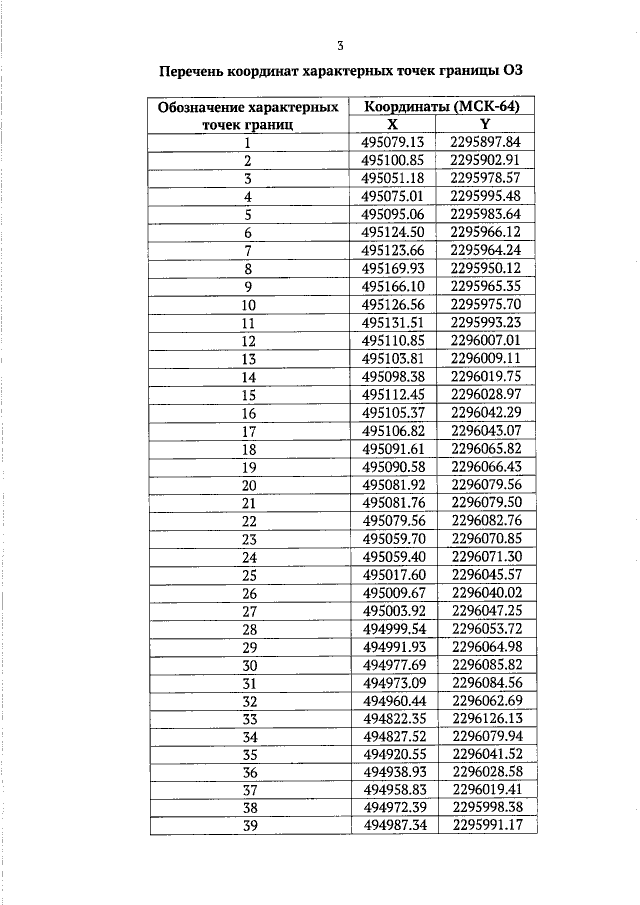
"Об утверждении зон охраны объекта культурного наследия регионального значения "Здание церкви-школы Рязано-Уральской железной дороги", 1910-е годы, расположенного по адресу: Саратовская область, г. Саратов, ул. Дегтярная, 26"
Номер опубликования: 6400202305150009
Дата опубликования: 15.05.2023
Страница №5 из 24:
Увеличить