Официальное опубликование правовых актов
ОФИЦИАЛЬНОЕ ОПУБЛИКОВАНИЕ
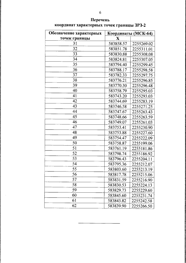
Постановление Правительства Саратовской области от 02.02.2021 № 52-П
"Об утверждении зон охраны объекта культурного наследия регионального значения "Магазин мануфактурный", 1878 г., расположенного по адресу: Саратовская область, г. Петровск, ул. Московская, 86"
Номер опубликования: 6400202102090001
Дата опубликования: 09.02.2021
Страница №17 из 19:
Увеличить