Официальное опубликование правовых актов
ОФИЦИАЛЬНОЕ ОПУБЛИКОВАНИЕ
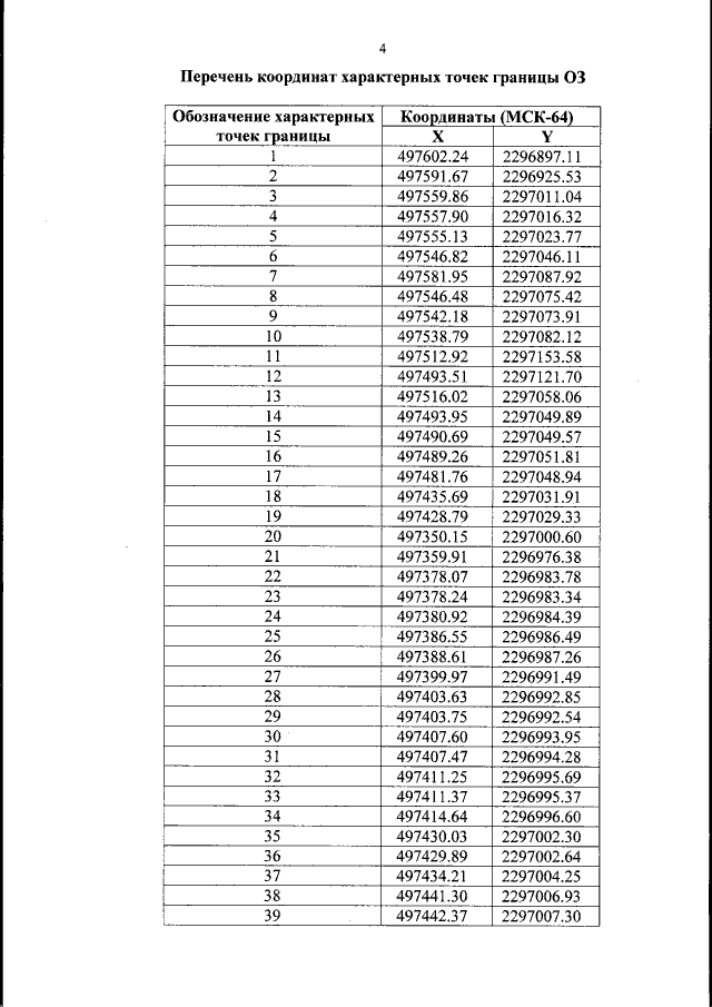
Постановление Правительства Саратовской области от 06.10.2020 № 831-П
"Об утверждении зон охраны объекта культурного наследия регионального значения "Дом жилой", 1930-е гг., расположенного по адресу: Саратовская область, г. Саратов, ул. Московская, 157 / ул. Университетская, 57"
Номер опубликования: 6400202010080014
Дата опубликования: 08.10.2020
Страница №5 из 9:
Увеличить