Официальное опубликование правовых актов
ОФИЦИАЛЬНОЕ ОПУБЛИКОВАНИЕ
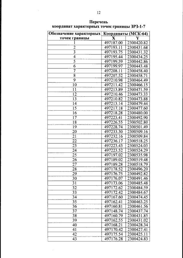
Постановление Правительства Саратовской области от 05.08.2020 № 660-П
"Об утверждении зон охраны объекта культурного наследия регионального значения "Духосошественская церковь", середина XIX века, расположенного по адресу: Саратовская область, г. Саратов, Духосошественская пл., 3"
Номер опубликования: 6400202008070017
Дата опубликования: 07.08.2020
Страница №21 из 31:
Увеличить