Официальное опубликование правовых актов
ОФИЦИАЛЬНОЕ ОПУБЛИКОВАНИЕ
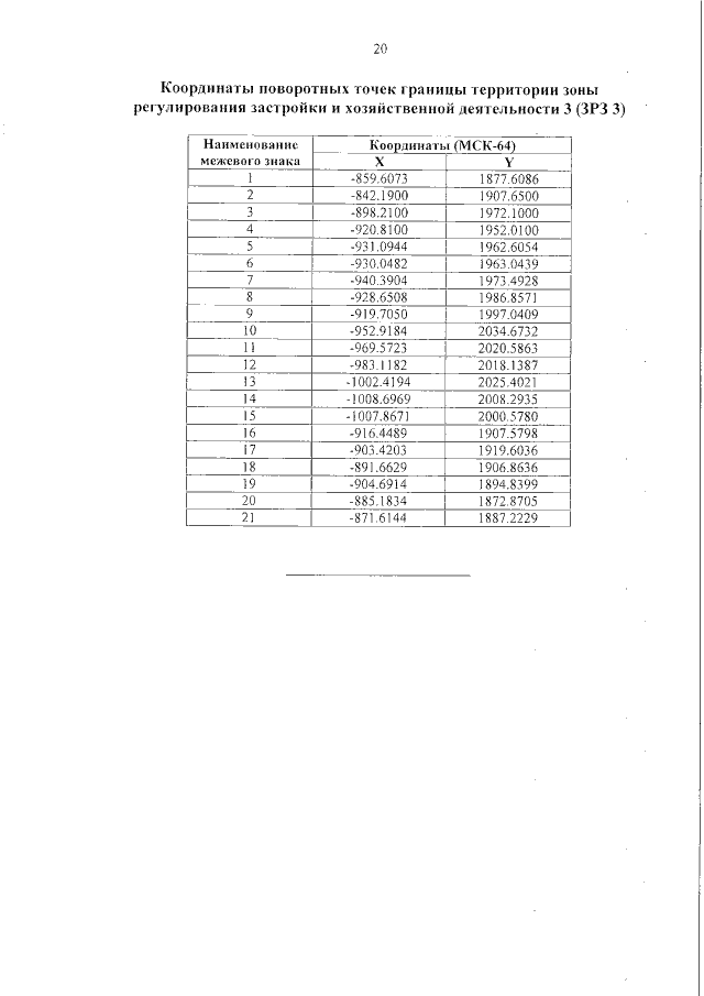
Постановление Правительства Саратовской области от 05.03.2018 № 110-П
"Об утверждении зон охраны объекта культурного наследия федерального значения "Дом Корнилова, 1-я треть XIX в." по адресу: г.Саратов, ул.Московская, 17 / ул.им.Чернышевского Н.Г., 186"
Номер опубликования: 6400201803120004
Дата опубликования: 12.03.2018
Страница №21 из 33:
Увеличить