Официальное опубликование правовых актов
ОФИЦИАЛЬНОЕ ОПУБЛИКОВАНИЕ
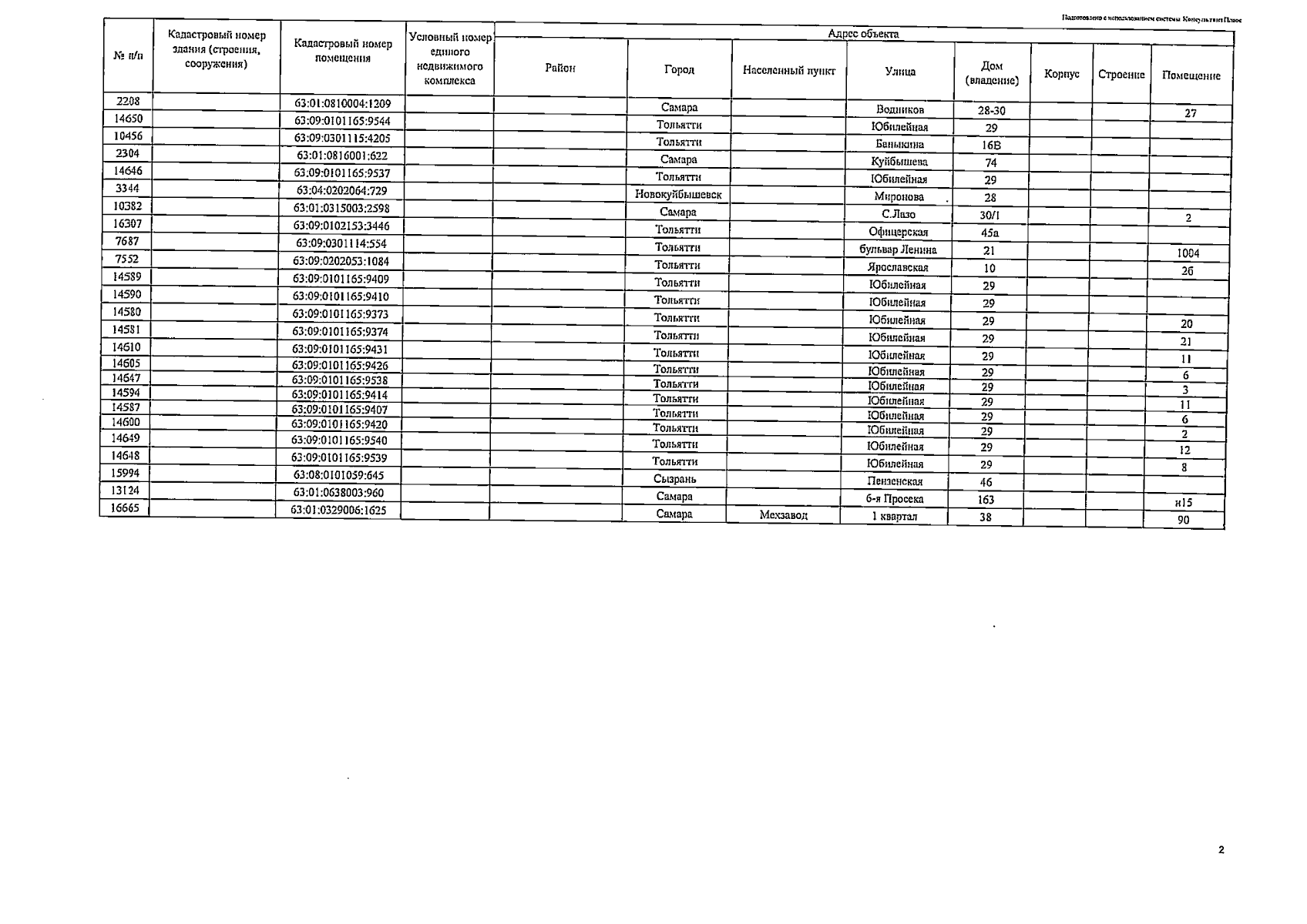
Приказ Министерства имущественных отношений Самарской области от 05.02.2026 № 158
"О внесении изменений в приказ министерства имущественных отношений Самарской области от 05.11.2024 № 2650 "Об определении Перечня объектов недвижимого имущества, находящихся на территории Самарской области, в отношении которых налоговая база определяется как их кадастровая стоимость для целей налогообложения, на 2025 год"
(Зарегистрирован 05.02.2026 № МИО-26/158)
Номер опубликования: 6301202602050002
Дата опубликования: 05.02.2026
Страница №7 из 7:
Увеличить