Официальное опубликование правовых актов
ОФИЦИАЛЬНОЕ ОПУБЛИКОВАНИЕ
Приказ Управления государственной охраны объектов культурного наследия Самарской области от 06.06.2024 № 130
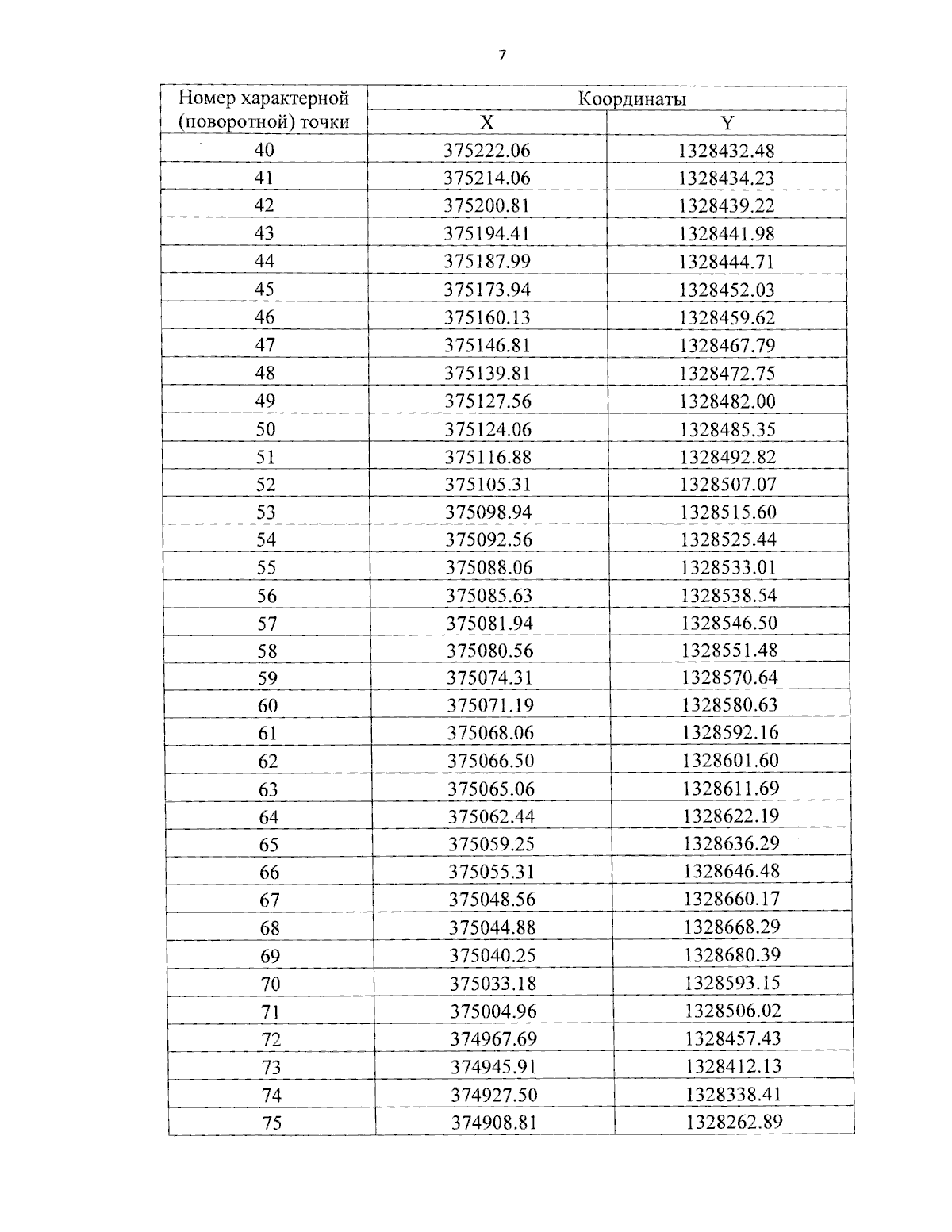
"Об утверждении границ территории и зон охраны объекта культурного наследия регионального значения "Троицкая церковь", расположенного по адресу: Безенчукский район, с. Екатериновка, ул. Набережная, д. 175 а, режимов использования земель и требований к градостроительным регламентам в границах данных зон"
(Зарегистрирован 06.06.2024 № УГООКН 24130)
Номер опубликования: 6301202406070003
Дата опубликования: 07.06.2024
Страница №9 из 20:
Увеличить