Официальное опубликование правовых актов
ОФИЦИАЛЬНОЕ ОПУБЛИКОВАНИЕ
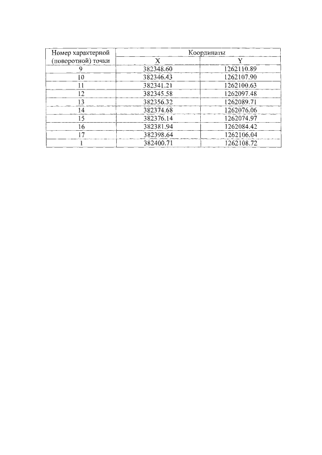
Приказ Управления государственной охраны объектов культурного наследия Самарской области от 06.09.2022 № 231
"Об утверждении границ территорий объектов культурного наследия регионального значения, расположенных на территории городского округа Сызрань Самарской области, режимов использования земель в границах данных территорий"
Номер опубликования: 6301202209070004
Дата опубликования: 07.09.2022
Страница №5 из 15:
Увеличить