Официальное опубликование правовых актов
ОФИЦИАЛЬНОЕ ОПУБЛИКОВАНИЕ
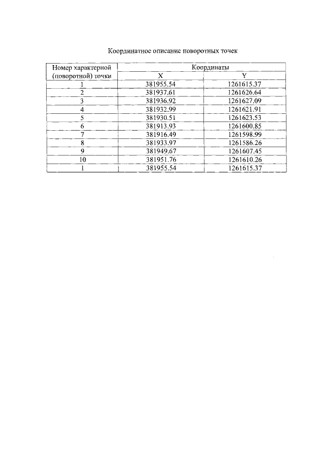
Приказ Управления государственной охраны объектов культурного наследия Самарской области от 27.06.2022 № 134
"Об утверждении границ территорий объектов культурного наследия регионального значения, расположенных на территории городского округа Сызрань Самарской области, режимов использования земель в границах данных территорий"
Номер опубликования: 6301202206290011
Дата опубликования: 29.06.2022
Страница №10 из 13:
Увеличить