Официальное опубликование правовых актов
ОФИЦИАЛЬНОЕ ОПУБЛИКОВАНИЕ
Постановление Правительства Самарской области от 19.08.2025 № 476
"О внесении изменений в Генеральный план сельского поселения Виловатое муниципального района Богатовский Самарской области"
Номер опубликования: 6300202508200003
Дата опубликования: 20.08.2025
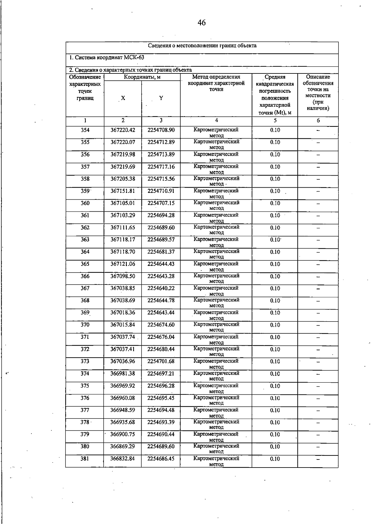
Страница №78 из 82:
Увеличить