Официальное опубликование правовых актов
ОФИЦИАЛЬНОЕ ОПУБЛИКОВАНИЕ
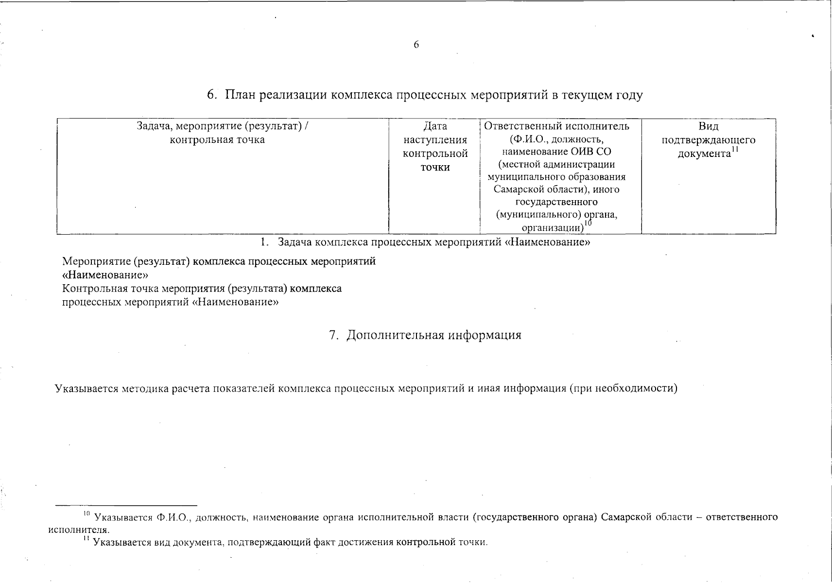
Постановление Правительства Самарской области от 24.10.2024 № 767
"О внесении изменений в постановление Правительства Самарской области от 29.09.2023 № 782 "Об утверждении Положения о системе управления государственными программами Самарской области" и о признании утратившими силу отдельных постановлений Правительства Самарской области"
Номер опубликования: 6300202410280012
Дата опубликования: 28.10.2024
Страница №73 из 74:
Увеличить