Официальное опубликование правовых актов
ОФИЦИАЛЬНОЕ ОПУБЛИКОВАНИЕ
Постановление Главного управления архитектуры и градостроительства Рязанской области от 14.11.2025 № 986-п
"О внесении изменений в правила землепользования и застройки муниципального образования – Нижнеякимецкое сельское поселение Александро-Невского муниципального района Рязанской области"
(Зарегистрирован 17.11.2025 № 1394)
Номер опубликования: 6201202511180003
Дата опубликования: 18.11.2025
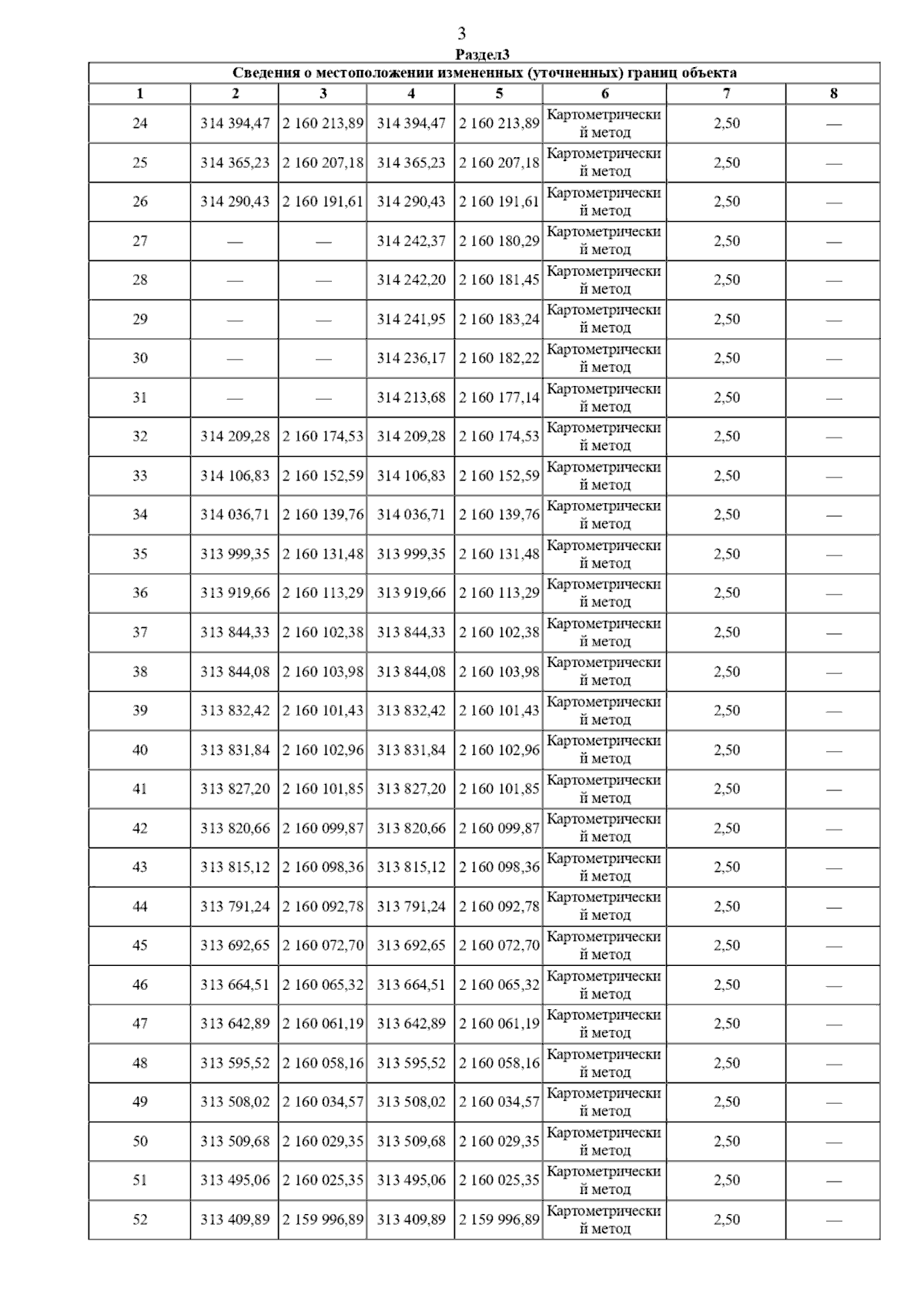
Страница №5 из 11:
Увеличить