Официальное опубликование правовых актов
ОФИЦИАЛЬНОЕ ОПУБЛИКОВАНИЕ
Постановление Главного управления архитектуры и градостроительства Рязанской области от 23.07.2025 № 579-п
"Об утверждении генерального плана муниципального образования – Кораблинский муниципальный округ Рязанской области применительно к территории Бобровинского сельского округа Кораблинского района Рязанской области"
(Зарегистрирован 23.07.2025 № 868)
Номер опубликования: 6201202507290001
Дата опубликования: 29.07.2025
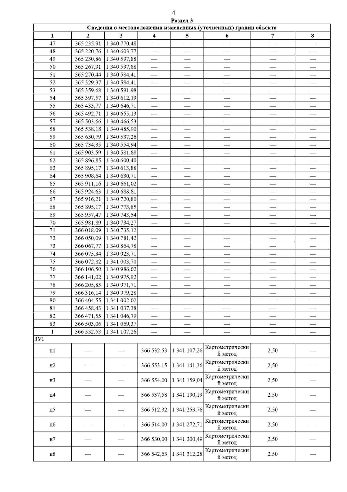
Страница №15 из 74:
Увеличить