Официальное опубликование правовых актов
ОФИЦИАЛЬНОЕ ОПУБЛИКОВАНИЕ
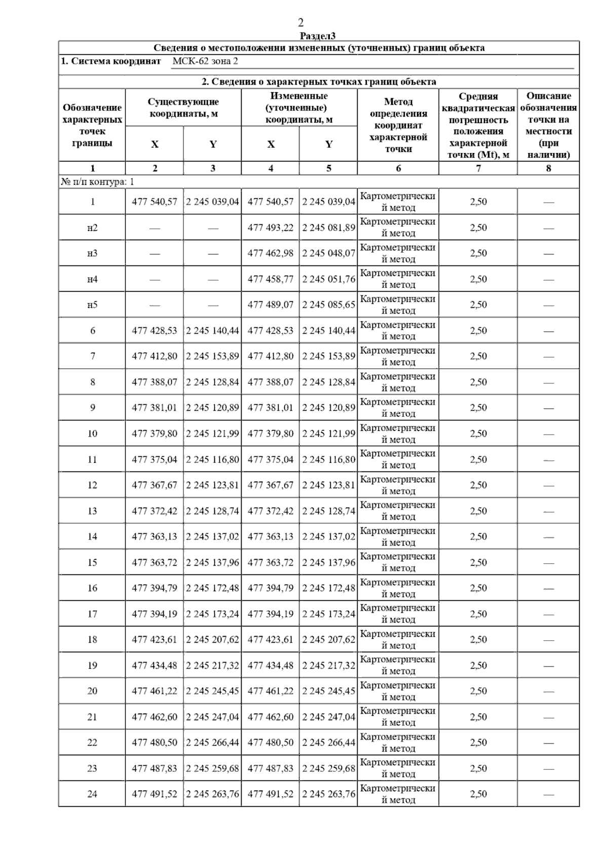
Постановление Главного управления архитектуры и градостроительства Рязанской области от 27.02.2025 № 138-п
"Об утверждении изменений в правила землепользования и застройки муниципального образования - городской округ город Касимов Рязанской области"
(Зарегистрирован 27.02.2025 № 218)
Номер опубликования: 6201202503030007
Дата опубликования: 03.03.2025
Страница №87 из 108:
Увеличить