Официальное опубликование правовых актов
ОФИЦИАЛЬНОЕ ОПУБЛИКОВАНИЕ
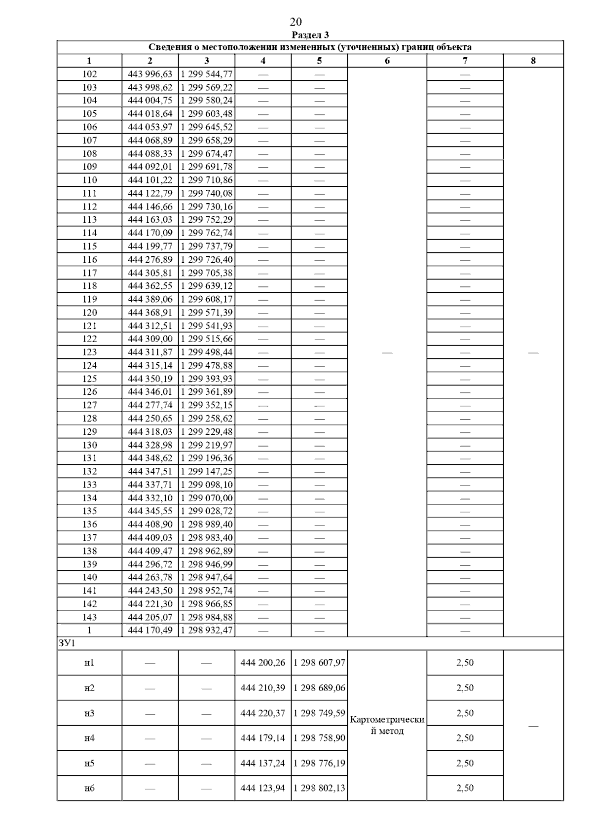
Постановление Главного управления архитектуры и градостроительства Рязанской области от 06.12.2024 № 711-п
"Об утверждении генерального плана муниципального образования – Алешинское сельское поселение Рыбновского муниципального района Рязанской области"
(Зарегистрирован 10.12.2024 № 1427)
Номер опубликования: 6201202412160004
Дата опубликования: 16.12.2024
Страница №32 из 88:
Увеличить