Официальное опубликование правовых актов
ОФИЦИАЛЬНОЕ ОПУБЛИКОВАНИЕ
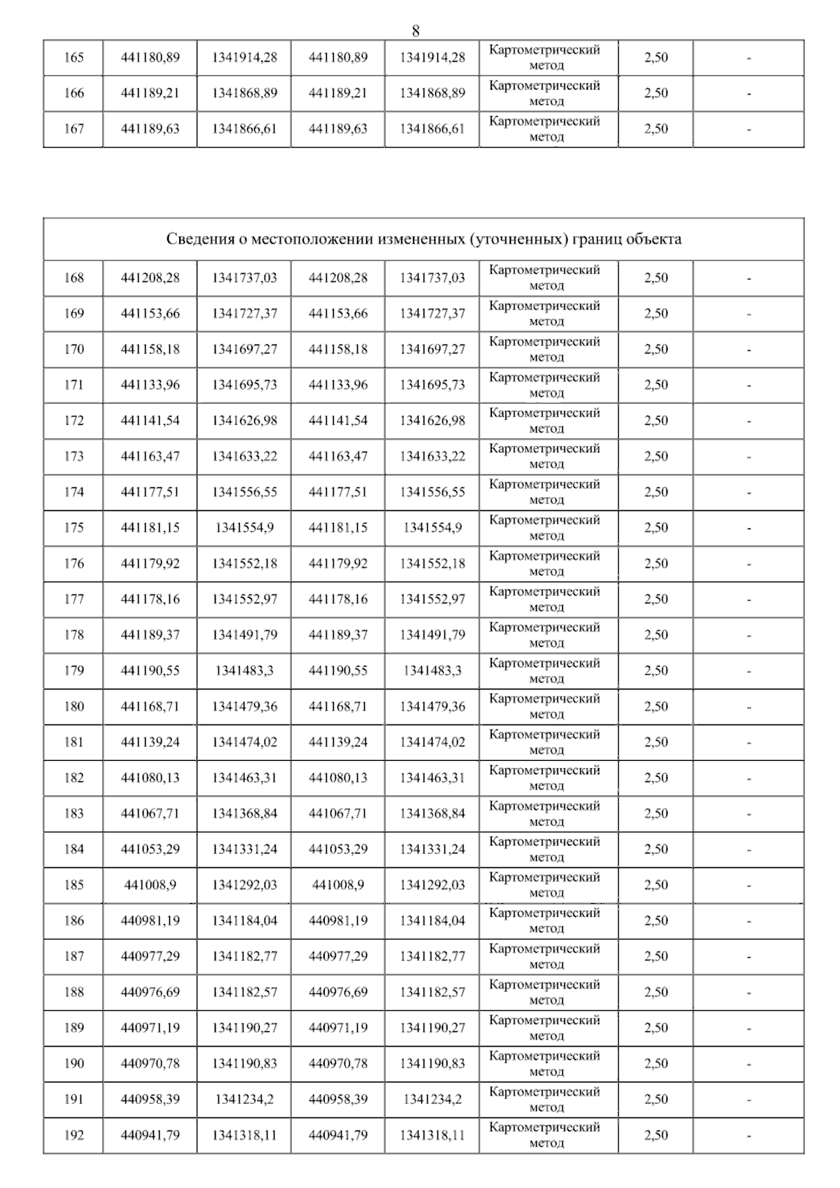
Постановление Главного управления архитектуры и градостроительства Рязанской области от 14.10.2024 № 567-п
"Об утверждении изменений в генеральный план муниципального образования – Дядьковское сельское поселение Рязанского муниципального района Рязанской области"
(Зарегистрирован 16.10.2024 № 1007)
Номер опубликования: 6201202410180006
Дата опубликования: 18.10.2024
Страница №21 из 27:
Увеличить