Официальное опубликование правовых актов
ОФИЦИАЛЬНОЕ ОПУБЛИКОВАНИЕ
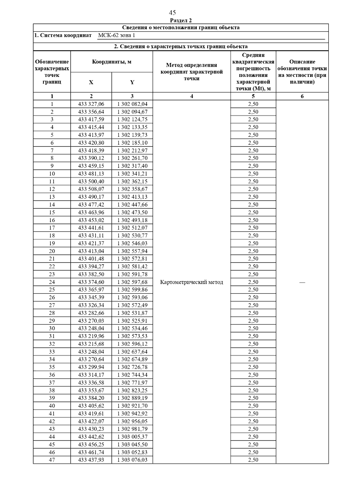
Постановление Главного управления архитектуры и градостроительства Рязанской области от 30.09.2024 № 510-п
"Об утверждении генерального плана муниципального образования – Плахинское сельское поселение Захаровского муниципального района Рязанской области"
(Зарегистрирован 01.10.2024 № 906)
Номер опубликования: 6201202410040010
Дата опубликования: 04.10.2024
Страница №56 из 63:
Увеличить