Официальное опубликование правовых актов
ОФИЦИАЛЬНОЕ ОПУБЛИКОВАНИЕ
Постановление Главного управления архитектуры и градостроительства Рязанской области от 28.08.2024 № 447-п
"Об утверждении генерального плана муниципального образования – Сасовский муниципальный округ Рязанской области применительно к территории Рожковского сельского округа Сасовского района Рязанской области"
(Зарегистрирован 29.08.2024 № 811)
Номер опубликования: 6201202409020012
Дата опубликования: 02.09.2024
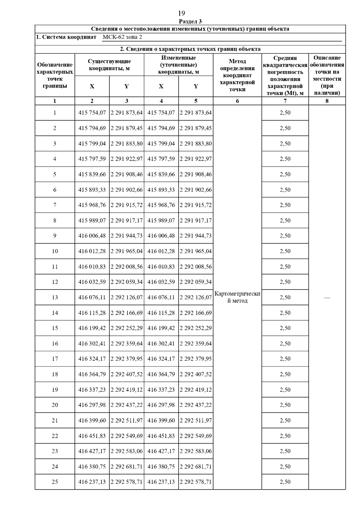
Страница №30 из 97:
Увеличить