Официальное опубликование правовых актов
ОФИЦИАЛЬНОЕ ОПУБЛИКОВАНИЕ
Постановление Главного управления архитектуры и градостроительства Рязанской области от 07.06.2024 № 262-п
"Об утверждении изменений в генеральный план муниципального образования – Пронское городское поселение Пронского муниципального района Рязанской области"
(Зарегистрирован 07.06.2024 № 515)
Номер опубликования: 6201202406140009
Дата опубликования: 14.06.2024
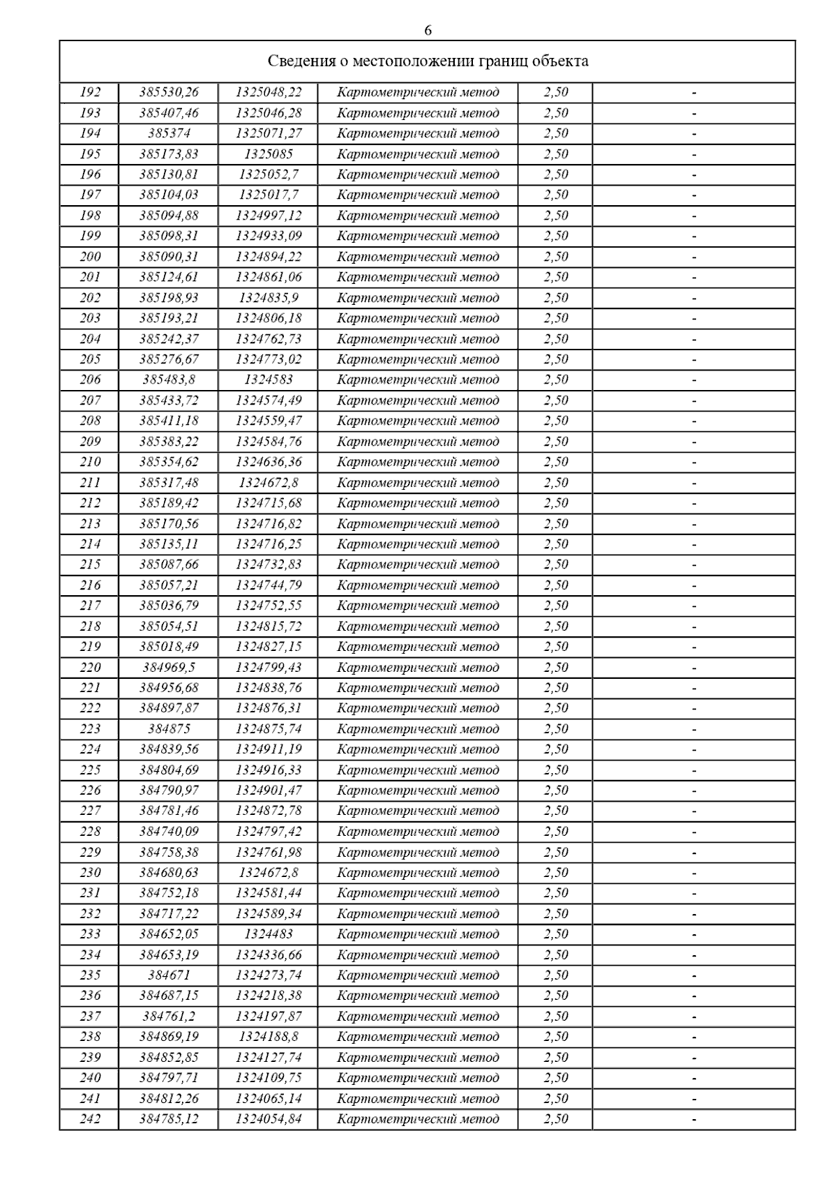
Страница №16 из 22:
Увеличить